2022年山东高考物理试卷



由于内容较多,无法全部呈现出来,如需《2022年山东高考物理试卷及答案解析》请大家关注公众号“高中生”,(id:gzsxxff),回复:高考真题,找到所需试卷答案,即可下载。
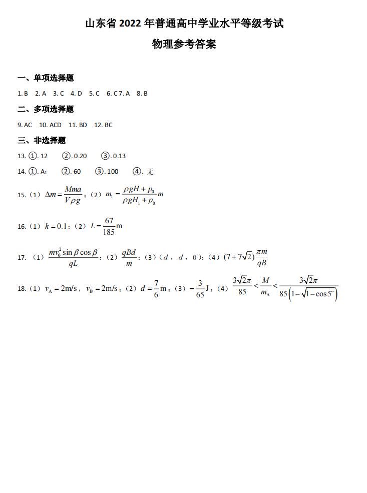
2022年山东高考物理答案解析

2022年全国高考试题及答案
| 全国甲卷 | 全国乙卷 | 新高考ⅰ卷 | 新高考ⅱ卷 |
| 北京卷 | 上海卷 | 天津卷 | 浙江卷 |
2022年山东高考物理试卷及答案解析就为大家介绍到这里,希望大家关注高考栏目,我们为大家提供2022年全套高考试卷及答案解析的同时,也为大家提供了高考成绩查询时间及入口、高考志愿填报时间及入口、高考分数线、高考录取查询时间等内容希望对大家有所帮助。
与2022年高考有关的其他文章:
2022年高考真题及答案解析(完整版)
2022年高考成绩查询时间及入口
2022年高考志愿填报入口
2022年各地高考分数线一览表
今年高考考生多少人?
